Free Access

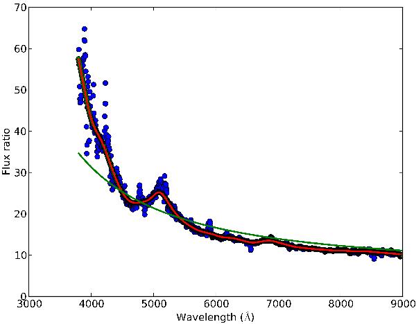
Fig. 6

thumbnail

Flux ratio of components Aa/Ab versus wavelength. The dots are the observed ratios binned to 5 Å and the thick line is its functional. The thin line is the ratio of two black bodies of 5250 K and 4000 K with radii appropriate for the two components.

Current usage metrics show cumulative count of Article Views (full-text article views including HTML views, PDF and ePub downloads, according to the available data) and Abstracts Views on Vision4Press platform.

Data correspond to usage on the plateform after 2015. The current usage metrics is available 48-96 hours after online publication and is updated daily on week days.

Initial download of the metrics may take a while.