Free Access

Fig. 5

thumbnail

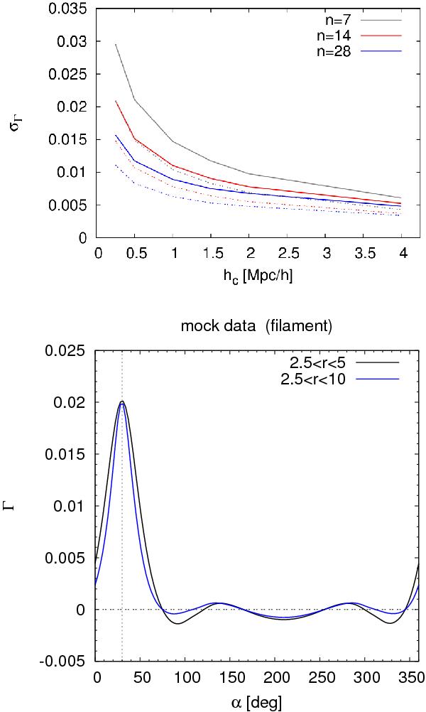
Optimal matched linear filter for filament detection. Top panel: variance for filaments at redshift z = 0.55. For a given survey with intrinsic ellipticity scatter of σϵ = 0.4, different core radii hc and different galaxy number densities n are plotted. Continuous lines refer to a filter with length L = 10, arcmin while dashed lines refer to L = 20 arcmin. Bottom panel: expected filter response for a filament located at z = 0.55, with a major axis position angle of θ = 30 degrees, a maximum convergence of κ0 = 0.02, and a scale radius of hc = 0.25 Mpc/h. The filter was truncated with an inner cutoff of 2.5 arcmin and two different outer cutoffs of 5 arcmin and 10 arcmin.

This figure is made of several images, please see below:

Current usage metrics show cumulative count of Article Views (full-text article views including HTML views, PDF and ePub downloads, according to the available data) and Abstracts Views on Vision4Press platform.

Data correspond to usage on the plateform after 2015. The current usage metrics is available 48-96 hours after online publication and is updated daily on week days.

Initial download of the metrics may take a while.