Free Access

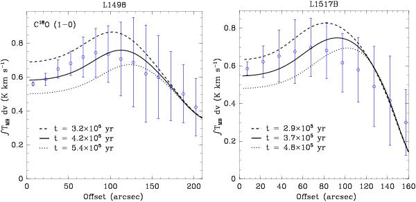
Fig. 3

thumbnail

Comparison between the observed C18O (1–0) integrated intensity as a function of the offset from the core center (blue dots with error bars) and the predictions our fiducial model for different chemical ages (solid, dotted and dashed lines) in L1498 (left panel) and L1517B (right panel). Observations have been radially (or ellipsoidally) averaged, and the error bars show the 1σ standard deviation in each “bin”.

This figure is made of several images, please see below:

Current usage metrics show cumulative count of Article Views (full-text article views including HTML views, PDF and ePub downloads, according to the available data) and Abstracts Views on Vision4Press platform.

Data correspond to usage on the plateform after 2015. The current usage metrics is available 48-96 hours after online publication and is updated daily on week days.

Initial download of the metrics may take a while.