Free Access

Fig. 5

thumbnail

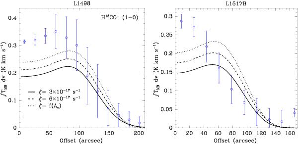
Comparison between the observed H13CO+ (1–0) integrated intensity as a function of the offset from the core center with the predictions of our model for different cosmic-ray ionization rates (solid, dotted and dashed lines) in L1498 (left panel) and L1517B (right panel). The solid curves correspond to the fiducial models (ζ = 3 × 10-17 s-1). The dashed curves (labeled ζ = f(Av)) correspond to model predictions for a variable cosmic ionization rate as a function of Av (see text).

This figure is made of several images, please see below:

Current usage metrics show cumulative count of Article Views (full-text article views including HTML views, PDF and ePub downloads, according to the available data) and Abstracts Views on Vision4Press platform.

Data correspond to usage on the plateform after 2015. The current usage metrics is available 48-96 hours after online publication and is updated daily on week days.

Initial download of the metrics may take a while.