Free Access

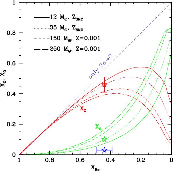
Fig. 11

thumbnail

Comparison of the helium (blue), carbon (red) and oxygen (green) mass fractions of DR1 with evolutionary predictions of helium-burning stars of various masses (12   M and 35   M from Brott et al. 2011, 150   M and 250   M from Langer et al. 2007). The uncertainty of the oxygen abundance is comparable to the size of the symbol and therefore not indicated.

Current usage metrics show cumulative count of Article Views (full-text article views including HTML views, PDF and ePub downloads, according to the available data) and Abstracts Views on Vision4Press platform.

Data correspond to usage on the plateform after 2015. The current usage metrics is available 48-96 hours after online publication and is updated daily on week days.

Initial download of the metrics may take a while.