Free Access

Fig. 5

thumbnail

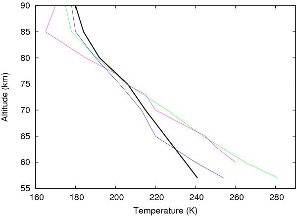
Thermal profile of Venus at low latitude used in the calculations. Thick black line: Nominal profile, which provides the best fit for the integrated spectrum shown in Fig. 2. With a cloud level at 62 km (T = 231 K), it also fits the 7-μm data of October 2012. Blue: thermal profile retrieved at the equator from the VIRTIS-M CO data at 4.7 μm (Irwin et al. 2008). Magenta: VIRA thermal profile at the equator (Seiff et al. 2005). Green: VeRa profile obtained near the equator (Lee et al. 2012; Piccialli et al. 2012).

Current usage metrics show cumulative count of Article Views (full-text article views including HTML views, PDF and ePub downloads, according to the available data) and Abstracts Views on Vision4Press platform.

Data correspond to usage on the plateform after 2015. The current usage metrics is available 48-96 hours after online publication and is updated daily on week days.

Initial download of the metrics may take a while.