Free Access

Fig. 6

thumbnail

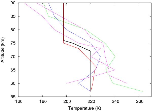
Thermal profiles of Venus at high latitude (70N and S) used in the calculations. Thick black line: nominal thermal profile, characterized by a constant temperature of 220 K below 72 km and 198 K above 75 km. This profile gives the best fit of the 19-μm CO2 lines at 70N and 70S latitudes. Red: inversion profile, with T = 220 K at 57 km, T = 225 K at 66 km and T = 198 K above 75 km. Blue: inversion profile retrieved at 4.7 μm by Irwin et al. (2008) at 70 S. Green: VIRA profile retrieved at high latitude (65−75 deg., Seiff et al. 1985). Magenta (left curve): VeRa profile retrieved at 68S by Piccialli et al. (2012; Fig. 1). Magenta (right curve): VeRa profile reported at 68S by Lee et al. for a specific orbit (2012, Fig. 1). The difference between the two VeRa profiles illustrates the local and temporal variations of the temperature profile in the polar collar.

Current usage metrics show cumulative count of Article Views (full-text article views including HTML views, PDF and ePub downloads, according to the available data) and Abstracts Views on Vision4Press platform.

Data correspond to usage on the plateform after 2015. The current usage metrics is available 48-96 hours after online publication and is updated daily on week days.

Initial download of the metrics may take a while.