Free Access

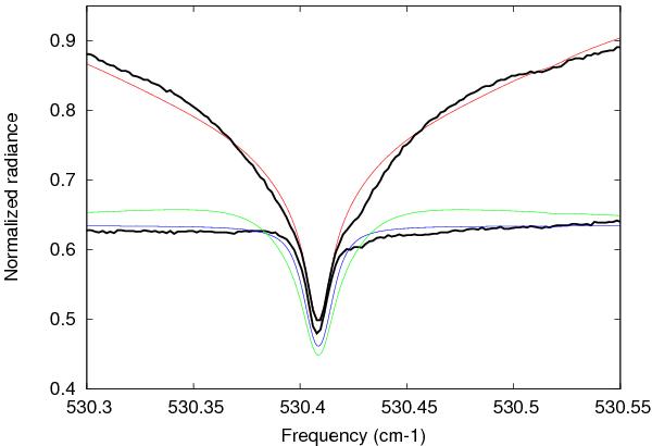
Fig. 7

thumbnail

Spectral fits of the strong CO2 line at 530.4 cm-1, at the equator and at high latitudes. Thick black lines: TEXES data. Models: nominal model (equator, red), isothermal model (high latitudes, best fit, blue), and inversion model (high latitudes, green).

Current usage metrics show cumulative count of Article Views (full-text article views including HTML views, PDF and ePub downloads, according to the available data) and Abstracts Views on Vision4Press platform.

Data correspond to usage on the plateform after 2015. The current usage metrics is available 48-96 hours after online publication and is updated daily on week days.

Initial download of the metrics may take a while.