Highlight
Free Access

Fig. 7

thumbnail

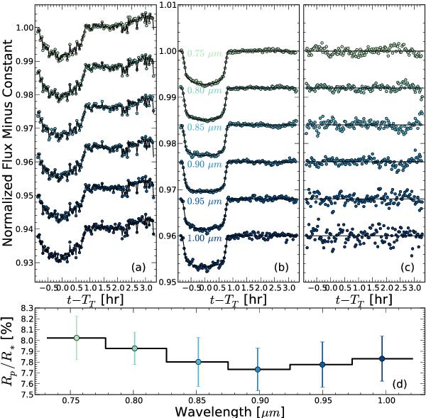
GMOS transit light curves: a) raw spectrophotometric data showing the common-mode flux variations, and best-fit models; b) normalized and corrected measurements and models; c) residuals multiplied by 3; d) final transmission spectrum after scaling error bars by ⟨ βT12 ⟩. Because we analyze the GMOS data in a differential fashion (Sect. 3.4) these data are insensitive to the absolute transit depth. Further, as shown in Fig. 5 these measurements are likely affected by systematic errors.

Current usage metrics show cumulative count of Article Views (full-text article views including HTML views, PDF and ePub downloads, according to the available data) and Abstracts Views on Vision4Press platform.

Data correspond to usage on the plateform after 2015. The current usage metrics is available 48-96 hours after online publication and is updated daily on week days.

Initial download of the metrics may take a while.