Free Access

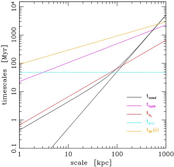
Fig. 8

thumbnail

Typical timescales in the core of Coma (ne and Te are roughly constant) as function of l, for the run with M ~ 0.25 and f = 1: conduction (black; Eq. (16)), turbulence (magenta; Eq. (9)), sound (red; tcs = l/cs), electron-ion equilibration (cyan; Eq. (18)). The conduction timescale for the saturated zones corresponds to the upper black envelope, limited by the electron sound speed (≃43 times that of protons). The yellow line is the Brunt-Väisälä (buoyancy) timescale, as function of r, using an average g ~ 5 × 10-9 cm s-2 and shallow core entropy slope (~0.1); tBV is similar to the free-fall time, within a factor of a few.

Current usage metrics show cumulative count of Article Views (full-text article views including HTML views, PDF and ePub downloads, according to the available data) and Abstracts Views on Vision4Press platform.

Data correspond to usage on the plateform after 2015. The current usage metrics is available 48-96 hours after online publication and is updated daily on week days.

Initial download of the metrics may take a while.