Free Access

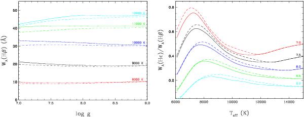
Fig. 5

thumbnail

Left: equivalent width of the Hβ line for ⟨3D⟩ (solid line) and 1D (dashed) spectra as a function of log g for Teff = 8000, 9000, 10 000, 11 000, and 12 000 K (values identified on the panel). Right: ratio of the Hϵ and Hβ equivalent widths as a function of Teff for log g = 7.0, 7.5, 8.0, 8.5 and 9.0 (values identified on the panel). The line cores are not included in the equivalent width (see Eq. (4)).

This figure is made of several images, please see below:

Current usage metrics show cumulative count of Article Views (full-text article views including HTML views, PDF and ePub downloads, according to the available data) and Abstracts Views on Vision4Press platform.

Data correspond to usage on the plateform after 2015. The current usage metrics is available 48-96 hours after online publication and is updated daily on week days.

Initial download of the metrics may take a while.