Free Access

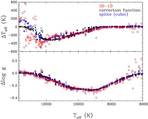
Fig. 8

thumbnail

3D vs. 1D Teff (top) and log g (bottom) from actual 3D and 1D fits (red open circles) and by using our correction function (Eqs. (9) and (10)) to modify the 1D parameters (black filled circles). We also employ a cubic spline interpolation of the 3D corrections (blue open squares) to modify the 1D parameters.

Current usage metrics show cumulative count of Article Views (full-text article views including HTML views, PDF and ePub downloads, according to the available data) and Abstracts Views on Vision4Press platform.

Data correspond to usage on the plateform after 2015. The current usage metrics is available 48-96 hours after online publication and is updated daily on week days.

Initial download of the metrics may take a while.