Free Access

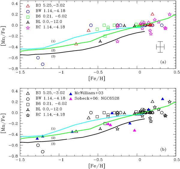
Fig. 7

thumbnail

[Mn/Fe] vs. [Fe/H]: a) present results for the four bulge fields. Symbols: open red triangles: B3 stars from the NGC 6553 field (l = 5.2°, b = −3°); open blue circles: BW stars from Baade’s Window (l = 1.14°, b = −4.2°); open green squares: B6 stars from a field at b = −6° (l = 0.2°, b = −6°); open black triangles: Bl stars from the Blanco field (l = 0°, b = −12°); open magenta stars: red clump (RC) stars from Baade’s Window. An error bar is given in the bottom-right corner of Fig. 2a. b) Same as a), here including bulge field stars (full blue triangles) from McWilliam et al. (2003a,b), and NGC 6528 from Sobeck et al. (2006) (full magenta triangles). Solid lines correspond to chemical evolution models by (1) TS98 (blue); (2) Cescutti et al. (2008) (green); and (3) Timmes et al. (1995) (black).

Current usage metrics show cumulative count of Article Views (full-text article views including HTML views, PDF and ePub downloads, according to the available data) and Abstracts Views on Vision4Press platform.

Data correspond to usage on the plateform after 2015. The current usage metrics is available 48-96 hours after online publication and is updated daily on week days.

Initial download of the metrics may take a while.