Free Access

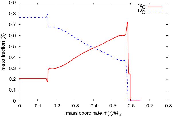
Fig. 1

thumbnail

Mass fractions of carbon and oxygen in the core of a TPAGB star with initial and Z = 0.02 obtained using the MESA code (Paxton et al. 2013) illustrating that the outermost layers with mass coordinate m(r) ≳ 0.5   M of a 0.6   M CO-WD are expected to have C/O > 1 (by number).

Current usage metrics show cumulative count of Article Views (full-text article views including HTML views, PDF and ePub downloads, according to the available data) and Abstracts Views on Vision4Press platform.

Data correspond to usage on the plateform after 2015. The current usage metrics is available 48-96 hours after online publication and is updated daily on week days.

Initial download of the metrics may take a while.