Free Access

Fig. 2

thumbnail

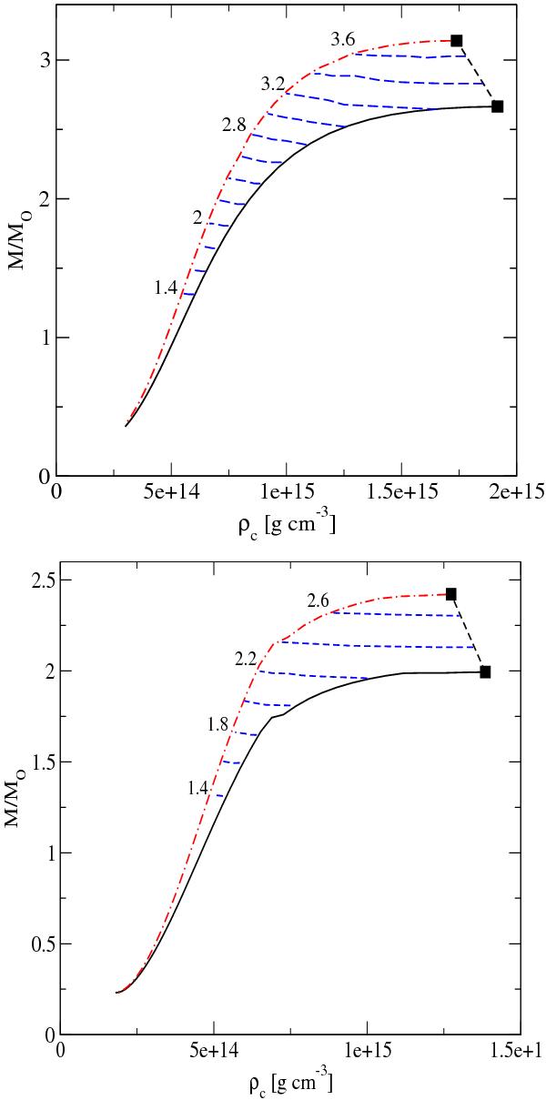
Dependence of masses of hybrid compact stars in solar units on their central density for EoS A (upper panel) and EoS B (lower panel). Solid (black online) lines show the non-rotating sequence. The dash-dotted (red online) lines show the maximally fast rotating sequence. The horizontal dashed (blue online) lines show constant rest-mass sequences, some of which are labeled by the value of their rest mass (in solar units). The mass step between two sequential evolutionary sequences is 0.2 M.

This figure is made of several images, please see below:

Current usage metrics show cumulative count of Article Views (full-text article views including HTML views, PDF and ePub downloads, according to the available data) and Abstracts Views on Vision4Press platform.

Data correspond to usage on the plateform after 2015. The current usage metrics is available 48-96 hours after online publication and is updated daily on week days.

Initial download of the metrics may take a while.