Free Access

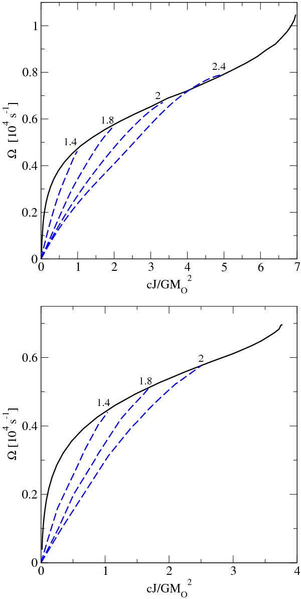
Fig. 5

thumbnail

Dependence of spin frequency of configurations on the angular momentum. The constant rest mass evolutionary sequences are shown by dashed lines and the Keplerian sequence by the solid line. The low-J results (cJ/GM ≤ 0.4) were obtained by interpolation. The supramassive sequences (not shown) spin-up as they approach the onset of instability. The upper panel corresponds to EoS A and the lower panel to EoS B.

This figure is made of several images, please see below:

Current usage metrics show cumulative count of Article Views (full-text article views including HTML views, PDF and ePub downloads, according to the available data) and Abstracts Views on Vision4Press platform.

Data correspond to usage on the plateform after 2015. The current usage metrics is available 48-96 hours after online publication and is updated daily on week days.

Initial download of the metrics may take a while.