Free Access

Fig. 6

thumbnail

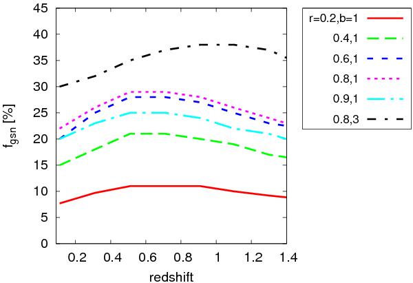
GSN variance fgsn on a pixel scale of Θs = 1   arcmin radius relative to the signal variance in the fiducial survey as function of lens plane redshift. The lines differ in their assumed r(). Except for one line, the bias factor of the tracers is b() = 1. This figure uses α = 0.01 and β = 0.1.

Current usage metrics show cumulative count of Article Views (full-text article views including HTML views, PDF and ePub downloads, according to the available data) and Abstracts Views on Vision4Press platform.

Data correspond to usage on the plateform after 2015. The current usage metrics is available 48-96 hours after online publication and is updated daily on week days.

Initial download of the metrics may take a while.