Free Access

Fig. 9

thumbnail

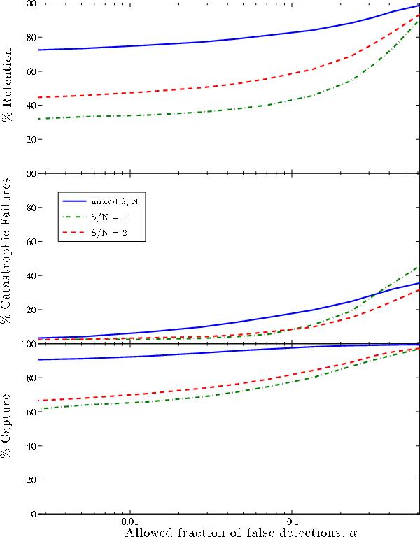
Effect of the choice of FDR threshold on the catastrophic failure rate after cleaning (upper panel), the retention (middle panel) and the capture rate (lower panel) on catalogues with a fixed S/N of 1.0 and 2.0 with flat noise; and on a mixed catalogue with a uniform distribution in S/N between 1 and 20, with pixel-dependent noise. Note the greater sacrifices required both in retention and capture rate in order to obtain the same catastrophic failure rate at an S/N of 1.0 compared to 2.0. Note also that we are able to obtain a 5.1% failure rate in our redshift estimates for the cleaned catalogue, a retention of 52.6%, and a capture rate of 76.2% with the catalogue at an S/N of 2 at an FDR threshold of 4.55%.

Current usage metrics show cumulative count of Article Views (full-text article views including HTML views, PDF and ePub downloads, according to the available data) and Abstracts Views on Vision4Press platform.

Data correspond to usage on the plateform after 2015. The current usage metrics is available 48-96 hours after online publication and is updated daily on week days.

Initial download of the metrics may take a while.