Free Access

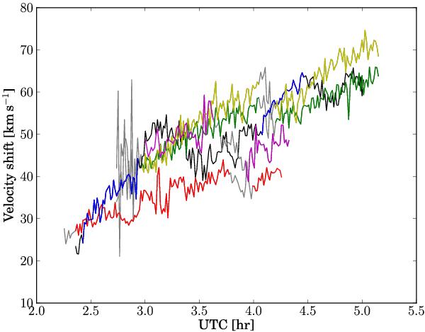
Fig. 15

thumbnail

Velocity shift of strong emission lines: Ca ii K (main component, red), Hβ (main component, blue), He i D3 (magenta), and Na i D (two components, rendered green and yellow). Grey and black indicate less reliable sections of the Hβ curve. The graphs of Ca ii K and He i D3 are truncated after about 4:20 UT because of the large scatter of the measurements.

Current usage metrics show cumulative count of Article Views (full-text article views including HTML views, PDF and ePub downloads, according to the available data) and Abstracts Views on Vision4Press platform.

Data correspond to usage on the plateform after 2015. The current usage metrics is available 48-96 hours after online publication and is updated daily on week days.

Initial download of the metrics may take a while.