Free Access

Fig. 5

thumbnail

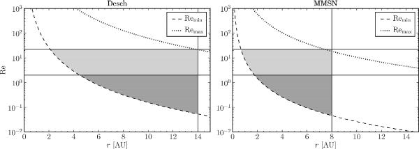
Reynolds number as a function of heliocentric distance r for the Desch and MMSN disk models. The Remin (dashed) line corresponds to a proto-planetesimal radius and headwind velocity of (R,v) = (1 m,15 m s-1), while the Remax (dotted) line corresponds to (150 m,40 m s-1). The solid horizontal lines denote Reynolds numbers of 2 and 22, while the solid vertical line indicates the critical gravitational heliocentric distance for each disk model (Eqs. (20) and (21)). The successively darker shading distinguishes the regions of our parameter space that fall below Reynolds numbers of 22 and 2, respectively.

Current usage metrics show cumulative count of Article Views (full-text article views including HTML views, PDF and ePub downloads, according to the available data) and Abstracts Views on Vision4Press platform.

Data correspond to usage on the plateform after 2015. The current usage metrics is available 48-96 hours after online publication and is updated daily on week days.

Initial download of the metrics may take a while.