Free Access

Fig. 6

thumbnail

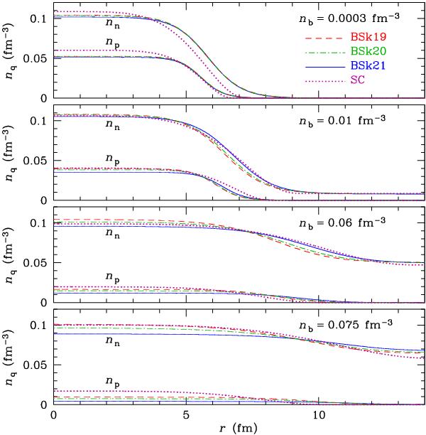
Neutron (nn) and proton (np) density profiles at the values of the average baryon density nb = 3 × 10-4 fm-3 (near the top of the inner crust), 0.01 fm-3, 0.06 fm-3, and 0.075 fm-3 (near the bottom of the inner crust), according to the models BSk19, BSk20, and BSk21. The SC model (Haensel et al. 2007) is also shown for comparison.

Current usage metrics show cumulative count of Article Views (full-text article views including HTML views, PDF and ePub downloads, according to the available data) and Abstracts Views on Vision4Press platform.

Data correspond to usage on the plateform after 2015. The current usage metrics is available 48-96 hours after online publication and is updated daily on week days.

Initial download of the metrics may take a while.