Free Access

Fig. 15

thumbnail

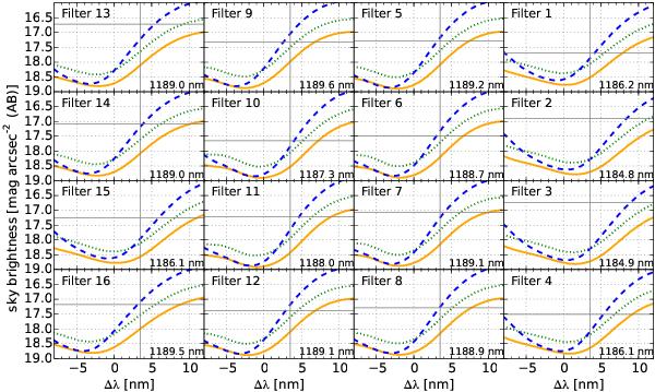
Predicted sky brightness for the 16 NB118 filters as function of a hypothetical filter wavelength shift Δλ with respect to the filter curves as predicted based on laboratory measurements. The results from 3 models of the sky emission spectrum are shown: solid orange line: model 1 (Gemini Observatory, theoretical), dotted green line: model 2 (Sullivan & Simcoe 2012), dashed blue line: model 3 (see text). The predictions are based on sky continuum and emission lines near the central passband of the filters; possible red-leaks are not included. The horizontal grey line marks a representative value for the observed NB118 sky brightness in the given filter. The vertical grey line marks the wavelength shift to the red of about 3.5 nm that we infer from NB118 observations of emission line objects with spectroscopic redshifts. The mean filter wavelength λ0 (Eq. (6)) as predicted based on laboratory measurements is given on the panel.

Current usage metrics show cumulative count of Article Views (full-text article views including HTML views, PDF and ePub downloads, according to the available data) and Abstracts Views on Vision4Press platform.

Data correspond to usage on the plateform after 2015. The current usage metrics is available 48-96 hours after online publication and is updated daily on week days.

Initial download of the metrics may take a while.