Free Access

Fig. 6

thumbnail

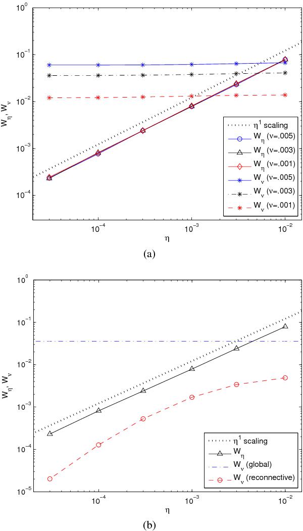
a) Resistive and viscous dissipation as a function of η for three different values of ν (ν = 0.005,   0.003,   0.001). We note that the Ohmic dissipation rates are effectively unchanged despite the differing values of viscosity. b) Resistive and viscous dissipation for ν = 0.003, with the latter separated into contributions from the global background field and the disturbance field. The dotted line indicates η1 scaling in both panels.

This figure is made of several images, please see below:

Current usage metrics show cumulative count of Article Views (full-text article views including HTML views, PDF and ePub downloads, according to the available data) and Abstracts Views on Vision4Press platform.

Data correspond to usage on the plateform after 2015. The current usage metrics is available 48-96 hours after online publication and is updated daily on week days.

Initial download of the metrics may take a while.