Free Access

Fig. 2

thumbnail

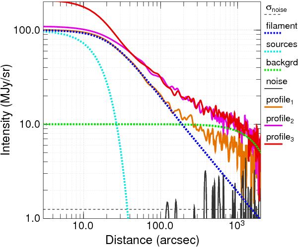
Profiles of the simulated filament (Sect. 2.1) used to illustrate the getfilaments method. The filament has the inner half-width R0 = 37″ (at half-maximum) and the outer power-law profile Iλ(r) ∝ r-1 (blue). Gaussian-shaped sources (cyan) and background (green) have FWHM sizes of 30′′ and 4000′′, respectively. Random pixel noise (black) was convolved to a resolution of 18′′ (FWHM) and scaled to have a standard deviation σnoise = 1.25 MJy/sr (dashed). Three profiles sample the full simulated image (Fig. 3) across the top of the filament (brown), just below its midpoint (magenta), and through the position of the uppermost source (red).

Current usage metrics show cumulative count of Article Views (full-text article views including HTML views, PDF and ePub downloads, according to the available data) and Abstracts Views on Vision4Press platform.

Data correspond to usage on the plateform after 2015. The current usage metrics is available 48-96 hours after online publication and is updated daily on week days.

Initial download of the metrics may take a while.