Free Access

Fig. 1

thumbnail

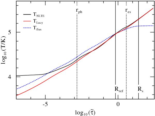
Temperature structure from the WC star model by Gräfener & Hamann (2005). TNLTE (black) is the temperature computed in non-LTE within the model, and TLucy (red) is obtained from the relation by Lucy & Abbott (1993) which is identical with Eq. (17) for . Tflux (blue dashed) denotes the local flux temperature. The dashed vertical lines indicate the classical photosphere rph with a flux-mean optical depth τ = 2/3, and the electron-scattering photosphere res with an electron-scattering optical depth τes = 2/3. Solid vertical lines indicate the sonic radius Rs and the reference radius Rref with where TLucy = Tflux is adopted (cf. Eq. (13)).

Current usage metrics show cumulative count of Article Views (full-text article views including HTML views, PDF and ePub downloads, according to the available data) and Abstracts Views on Vision4Press platform.

Data correspond to usage on the plateform after 2015. The current usage metrics is available 48-96 hours after online publication and is updated daily on week days.

Initial download of the metrics may take a while.