Free Access

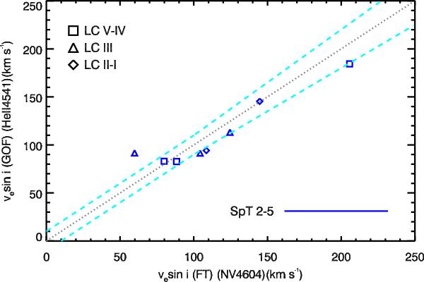
Fig. A.1

thumbnail

Comparison of the νesini measurements for He iiλ4541 and N vλ4604. Information on the LC of the targets is provided by the symbol shapes. The dashed lines show the ± 10 kms-1 and/or ±    10%, whichever is the largest, around the 1:1 relation.

Current usage metrics show cumulative count of Article Views (full-text article views including HTML views, PDF and ePub downloads, according to the available data) and Abstracts Views on Vision4Press platform.

Data correspond to usage on the plateform after 2015. The current usage metrics is available 48-96 hours after online publication and is updated daily on week days.

Initial download of the metrics may take a while.