Free Access

Fig. 9

thumbnail

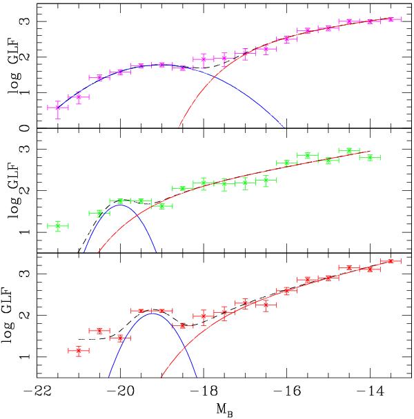
GLFs in the B band in the three zones of Abell 3376 shown in Fig. 8, with the same colour codes. The units are galaxy counts in bins of 0.5 mag and per square degree. The best fits obtained are shown as curves: a Gaussian (in blue) at the bright end, a Schechter function (in red) at the faint end, and the sum of both shown as a black dashed line.

Current usage metrics show cumulative count of Article Views (full-text article views including HTML views, PDF and ePub downloads, according to the available data) and Abstracts Views on Vision4Press platform.

Data correspond to usage on the plateform after 2015. The current usage metrics is available 48-96 hours after online publication and is updated daily on week days.

Initial download of the metrics may take a while.