Highlight
Free Access

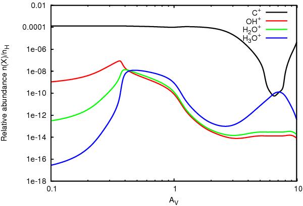
Fig. 3

thumbnail

Abundances of OH+, H2O+, H3O+, and C+, predicted by the Meudon PDR model as a function of visual extinction for a radiation field of χ = 10   000 in units of the local interstellar radiation field according to Draine (1978) and a pressure of P = 108 K cm-3, as applicable to the Orion Bar.

Current usage metrics show cumulative count of Article Views (full-text article views including HTML views, PDF and ePub downloads, according to the available data) and Abstracts Views on Vision4Press platform.

Data correspond to usage on the plateform after 2015. The current usage metrics is available 48-96 hours after online publication and is updated daily on week days.

Initial download of the metrics may take a while.