Free Access

Fig. 1

thumbnail

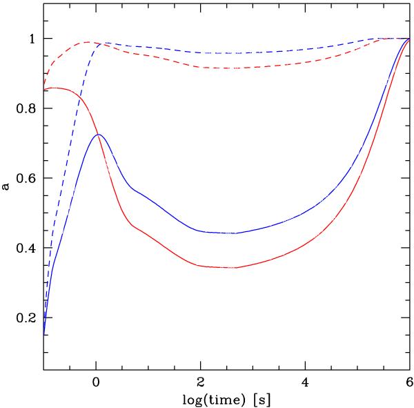
Evolution of the primary BH spin during the collapse of the stellar envelope. Blue lines are for a1,init = 0.1 and red lines for a1,init = 0.85. The solid and dashed lines show the models with the envelope’s angular momentum normalized with x = lspec/lcrit = 1.5 and 7, respectively. The model assumes homologous accretion of the envelope shells onto the BH and no wind. The envelope is spun up by the companion BH of a mass M2 = 3  M. The time is given as the free-fall timescale, so it scales with M1.

Current usage metrics show cumulative count of Article Views (full-text article views including HTML views, PDF and ePub downloads, according to the available data) and Abstracts Views on Vision4Press platform.

Data correspond to usage on the plateform after 2015. The current usage metrics is available 48-96 hours after online publication and is updated daily on week days.

Initial download of the metrics may take a while.