Free Access

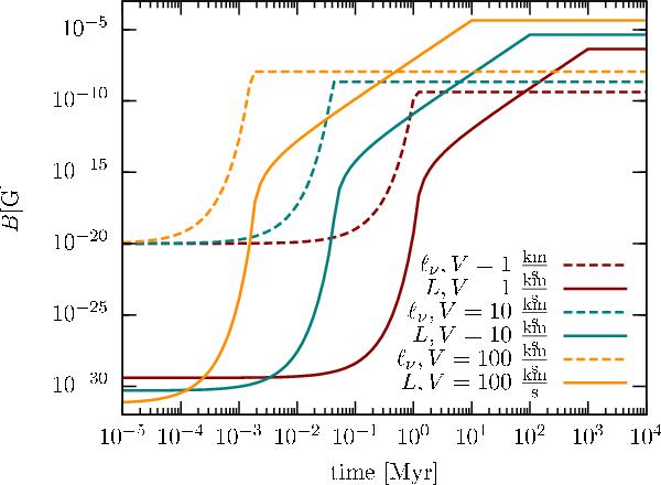
Fig. 4

thumbnail

Evolution of the magnetic field amplified by the small-scale dynamo. The dashed lines show the evolution on the viscous scale ν, the solid lines the one on the forcing scale of the turbulence L. We use in this plot L = 103 pc. The different colors indicate different turbulent velocities: the red lines have velocities of 1 km s-1, the green lines 10 km s-1 and the orange lines 100 km s-1. The microphysical quantities are determined in Sect. 2.2. The viscosity is ν = 8.7 × 1015 cm2 s-1, the magnetic resistivity η = 37.8 cm2 s-1, the density is n = 10 cm-3 and the mean particle mass is m = 1.6 × 10-24 g. The initial magnetic field strength on the viscous scale in this plot is B0 = 10-20 G and the slope of the turbulence spectrum ϑ is 0.4.

Current usage metrics show cumulative count of Article Views (full-text article views including HTML views, PDF and ePub downloads, according to the available data) and Abstracts Views on Vision4Press platform.

Data correspond to usage on the plateform after 2015. The current usage metrics is available 48-96 hours after online publication and is updated daily on week days.

Initial download of the metrics may take a while.