Free Access

Fig. 5

thumbnail

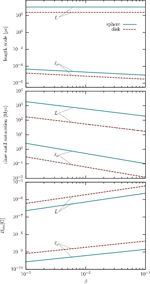
Dependency of the accretion-driven small-scale dynamo mechanism on the percentage of kinetic energy that goes into turbulence β. The upper panel shows the different length scales, the middle panel the time until saturation, i.e. tν and tL, and the lower panel the saturation magnetic field strength Bsat. We plot all quantities on the viscous scale ν and on the turbulent forcing scale L as indicated in the figure. The solid blue lines show the results for a spherical galaxy, the dashed red lines the ones for a disk.

Current usage metrics show cumulative count of Article Views (full-text article views including HTML views, PDF and ePub downloads, according to the available data) and Abstracts Views on Vision4Press platform.

Data correspond to usage on the plateform after 2015. The current usage metrics is available 48-96 hours after online publication and is updated daily on week days.

Initial download of the metrics may take a while.