Free Access

Fig. 6

thumbnail

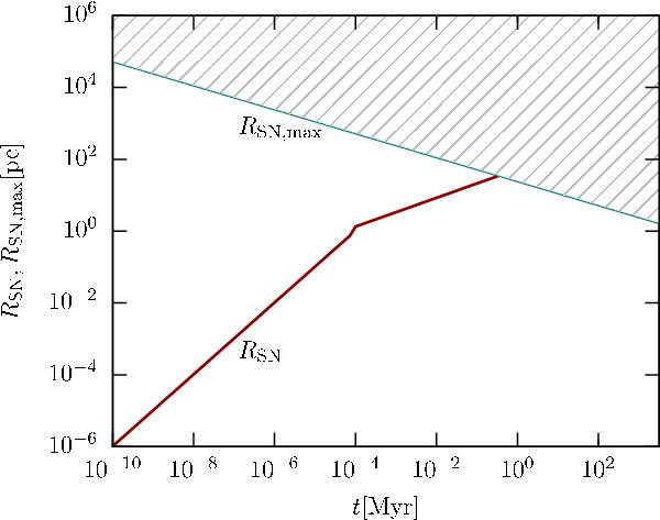
The red line shows the radius of a SN shock RSN(t) as a function of time. Up to roughly 100 yr the SN shock expands freely, then the Sedov-Taylor expansion sets in. The available maximum radius for SNe RSN,max(t) as a function of time is shown for the case of a spherical halo by the blue line. This radius decreases in time, as the number of SN in the protogalactic core increases. The first SN shocks collide after a time of approximately 0.36 Myr.

Current usage metrics show cumulative count of Article Views (full-text article views including HTML views, PDF and ePub downloads, according to the available data) and Abstracts Views on Vision4Press platform.

Data correspond to usage on the plateform after 2015. The current usage metrics is available 48-96 hours after online publication and is updated daily on week days.

Initial download of the metrics may take a while.