Free Access

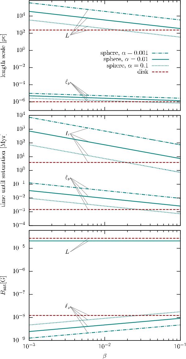
Fig. 8

thumbnail

Dependency of the SN-driven small-scale dynamo mechanism on the percentage of kinetic energy that goes into turbulence β and the SN efficiency α. The upper panel shows the different length scales, the middle panel the time until saturation, i.e. tν and tL, and the lower panel the saturation magnetic field strength Bsat. We plot all quantities on the viscous scale ν and on the turbulent forcing scale L as indicated in the figure. The dashed-dotted blue line represents the case of a spherical galaxy with α = 0.001, the solid blue line the fiducial case of α = 0.01 and the dotted blue line the case of α = 0.1. The dashed red line shows the results for a disk-like galaxy. There are only 6 lines in the lower plot instead of 8. This results from the fact, that in the spherical case the saturation field strength on the forcing scale does not depend on α nor on β, in contrast to L and tL (see Eqs. (80) to (84)).

Current usage metrics show cumulative count of Article Views (full-text article views including HTML views, PDF and ePub downloads, according to the available data) and Abstracts Views on Vision4Press platform.

Data correspond to usage on the plateform after 2015. The current usage metrics is available 48-96 hours after online publication and is updated daily on week days.

Initial download of the metrics may take a while.