Highlight
Free Access

Fig. 10

thumbnail

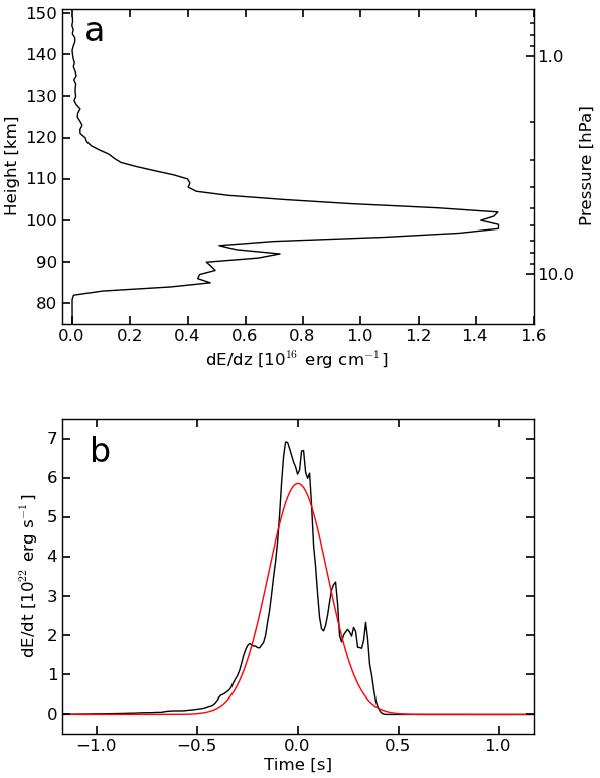
Energy-deposition profile of a 16-m diameter ice impactor entering Jupiter’s atmosphere in terms of atmospheric height a) and time b). The rapid increase in the deposited energy at 120 km indicates the initial breakup of the object, and the sharp peak at about 100 km altitude represents the disintegration of the last big coherent fragment. The time behavior of energy release compares well with the light curves analyzed in the three impacts. Significant structure in the synthetic light curve is found in time scales of 0.05 s, suggesting an ideal time-resolving observation of 20 frames per second. A Gaussian fit to the energy release in terms of time appears in panel b). The FWHM of this fit is 0.35 s. The bright explosion is followed by further release of energy when the rests of the impacting object desintegrate 90 km above the 1 bar level. This behavior seems similar to the one present in the light curves from the June 2010 and August 2012 impacts.

Current usage metrics show cumulative count of Article Views (full-text article views including HTML views, PDF and ePub downloads, according to the available data) and Abstracts Views on Vision4Press platform.

Data correspond to usage on the plateform after 2015. The current usage metrics is available 48-96 hours after online publication and is updated daily on week days.

Initial download of the metrics may take a while.