Free Access

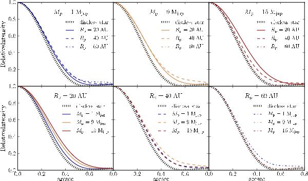
Fig. 6

thumbnail

Synthetic 20   μm (Q-band) measurements for the different masses and planet positions considered. Upper row: variation in the PSF profile with planet position for fixed planet mass. Lower row: variation in the PSF profile with planet mass for a fixed planet position. In all panels, the different colors indicate different planet masses (blue, yellow, and red for Mp =  [1,9,15]    MJup, respectively) while different line styles correspond to different planet positions (solid, dashed and dash-dotted for Rp =  [20,40,60]    AU, respectively). The black striped line shows the PSF corresponding to a discless (calibrator) star for reference.

Current usage metrics show cumulative count of Article Views (full-text article views including HTML views, PDF and ePub downloads, according to the available data) and Abstracts Views on Vision4Press platform.

Data correspond to usage on the plateform after 2015. The current usage metrics is available 48-96 hours after online publication and is updated daily on week days.

Initial download of the metrics may take a while.