Free Access

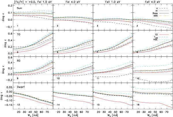
Fig. 7

thumbnail

Overview of the ⟨3D⟩ − 3D line formation differences given in abundances displacement Δlog ε vs. equivalent width Wλ for the Fe i and Fe ii fictitious spectral lines with the excitation potentials χexc = 1.0 and 4.0 eV including the Sun, TO, RG and dwarf simulation (from top to bottom). The averages on layers of constant geometric height ⟨3D⟩z (black dashed), constant column mass density ⟨3D⟩m (black dotted), constant Rosseland optical depth ⟨3D⟩Ross (black solid) and at 500 nm ⟨3D⟩500 (orange dashed triple-dotted lines) are indicated. Furthermore, we show 1D models (red solid), -averages (blue dashed) and (green dashed lines). The microturbulence of ξturb = 1.0 km s-1 has been used throughout. Notice the different ordinates.

Current usage metrics show cumulative count of Article Views (full-text article views including HTML views, PDF and ePub downloads, according to the available data) and Abstracts Views on Vision4Press platform.

Data correspond to usage on the plateform after 2015. The current usage metrics is available 48-96 hours after online publication and is updated daily on week days.

Initial download of the metrics may take a while.