Free Access

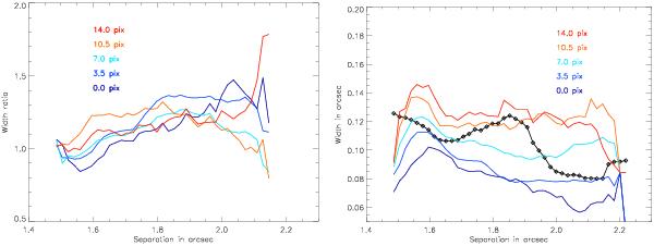
Fig. 7

thumbnail

Width ratios (without/with cADI) measured on the fake spirals (left plot), and apparent width (right plot) measured on S1 (dark line with diamonds) and compared to fake spirals of different sizes (colored lines).

This figure is made of several images, please see below:

Current usage metrics show cumulative count of Article Views (full-text article views including HTML views, PDF and ePub downloads, according to the available data) and Abstracts Views on Vision4Press platform.

Data correspond to usage on the plateform after 2015. The current usage metrics is available 48-96 hours after online publication and is updated daily on week days.

Initial download of the metrics may take a while.