Free Access

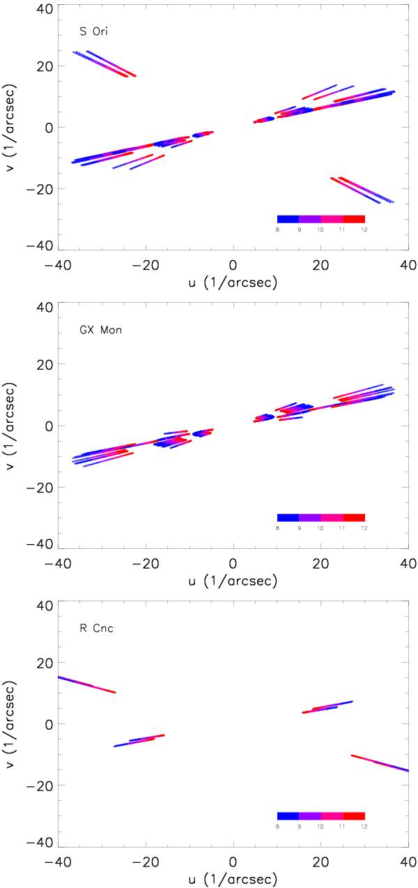
Fig. 1

thumbnail

Coverage of the uv-plane of our MIDI observations of S Ori, GX Mon, and R Cnc. Each line represents one AT observation over the wavelength range from 8 μm to 13 μm. The color of each point corresponds to the wavelength of the observations, as indicated by the color bar.

This figure is made of several images, please see below:

Current usage metrics show cumulative count of Article Views (full-text article views including HTML views, PDF and ePub downloads, according to the available data) and Abstracts Views on Vision4Press platform.

Data correspond to usage on the plateform after 2015. The current usage metrics is available 48-96 hours after online publication and is updated daily on week days.

Initial download of the metrics may take a while.