Free Access

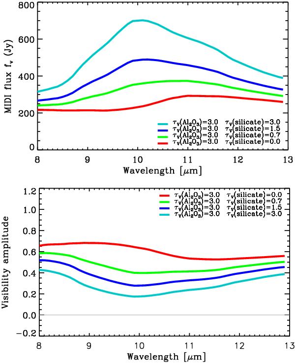
Fig. 7

thumbnail

Synthetic flux spectra (top) and visibility amplitude (bottom) based on the model parameters from Sec. 5.1 The simulation compares four different sets of dust shell parameters where only the optical depth of the silicate dust shell varies. The optical depth of an Al2O3 dust shell τV (Al2O3) is set to 3.0 and the optical depth of a silicate dust shell τV (silicate) is set to 0.0 (red), 0.7 (green), 1.5 (blue) and 3.0 (light blue). The full set of parameters can be found in the text.

This figure is made of several images, please see below:

Current usage metrics show cumulative count of Article Views (full-text article views including HTML views, PDF and ePub downloads, according to the available data) and Abstracts Views on Vision4Press platform.

Data correspond to usage on the plateform after 2015. The current usage metrics is available 48-96 hours after online publication and is updated daily on week days.

Initial download of the metrics may take a while.