Free Access

Fig. 7

thumbnail

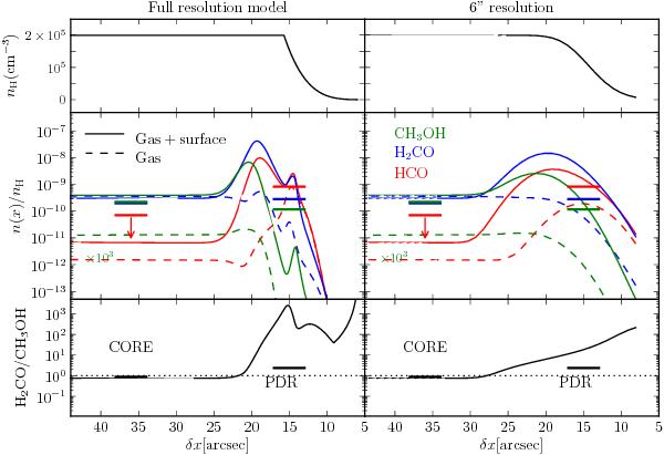
Photochemical model of the Horsehead PDR. The left column shows the full-resolution model and the right column shows the model convolved with a Gaussian of 6′′ FWHM. Upper panel: PDR density profile (nH = n(H)+ 2n(H2) in  cm-3). Middle panel: predicted abundance (relative to nH) of HCO (red), H2CO (blue) and CH3OH (green). Lower panel: predicted H2CO/CH3OH abundance ratio. Models shown as dashed lines include pure gas-phase chemistry and models shown as solid lines include both gas-phase and grain surface chemistry. The CH3OH abundance predicted by the pure gas-phase model has been multiplied by 103 in the middle panel so that it could fit in the figure.

Current usage metrics show cumulative count of Article Views (full-text article views including HTML views, PDF and ePub downloads, according to the available data) and Abstracts Views on Vision4Press platform.

Data correspond to usage on the plateform after 2015. The current usage metrics is available 48-96 hours after online publication and is updated daily on week days.

Initial download of the metrics may take a while.