Free Access

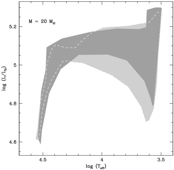
Fig. 7

thumbnail

Uncertainty on the location of the evolutionary path for a 20 M stellar model with (dark grey envelope) and without (light grey delimited by dashes lines) rotation. We have considered tracks generated by five different codes (Geneva, STERN, FRANEC, MESA and Starevol) with similar (yet not exactly the same) initial rotation rates.

Current usage metrics show cumulative count of Article Views (full-text article views including HTML views, PDF and ePub downloads, according to the available data) and Abstracts Views on Vision4Press platform.

Data correspond to usage on the plateform after 2015. The current usage metrics is available 48-96 hours after online publication and is updated daily on week days.

Initial download of the metrics may take a while.