Free Access

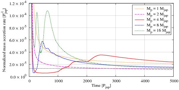
Fig. 11

thumbnail

Normalized mass accretion rate over time for the isothermal set-up with an inner radius of the computational domain of rmin = 0.7   rjup. The values are plotted as a moving average over 50 orbits to remove jitter. The vertical dotted line at t = 50   Pjup marks the time when the planet has reached its full mass and the horizontal dashed line is the gas accretion rate given by Eq. (7).

Current usage metrics show cumulative count of Article Views (full-text article views including HTML views, PDF and ePub downloads, according to the available data) and Abstracts Views on Vision4Press platform.

Data correspond to usage on the plateform after 2015. The current usage metrics is available 48-96 hours after online publication and is updated daily on week days.

Initial download of the metrics may take a while.