Free Access

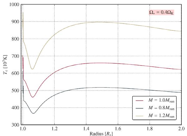
Fig. 7

thumbnail

Comparison of the temperature in the disk midplane Tc of the three different models with stellar masses of 1.0,0.8, and 1.2   M. The stellar rotation rate Ω has been chosen to amount to 0.4ΩK, as an illustrative case. It is clearly observable that with increasing stellar mass the temperature in the disk also rises.

Current usage metrics show cumulative count of Article Views (full-text article views including HTML views, PDF and ePub downloads, according to the available data) and Abstracts Views on Vision4Press platform.

Data correspond to usage on the plateform after 2015. The current usage metrics is available 48-96 hours after online publication and is updated daily on week days.

Initial download of the metrics may take a while.