Free Access

Fig. 14

thumbnail

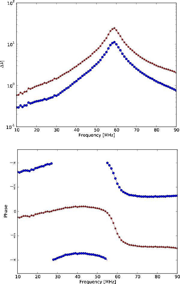
Jones matrix components of the antenna model amplitudes (top) and phases (bottom) for a dipole receiving a wave polarized in the êθ direction (circles) and a wave polarized in the êφ direction (stars) for an arrival direction of φ = 345° = 50°. Also plotted, as the dotted line, are the interpolated values.

This figure is made of several images, please see below:

Current usage metrics show cumulative count of Article Views (full-text article views including HTML views, PDF and ePub downloads, according to the available data) and Abstracts Views on Vision4Press platform.

Data correspond to usage on the plateform after 2015. The current usage metrics is available 48-96 hours after online publication and is updated daily on week days.

Initial download of the metrics may take a while.