Free Access

Fig. A.1

thumbnail

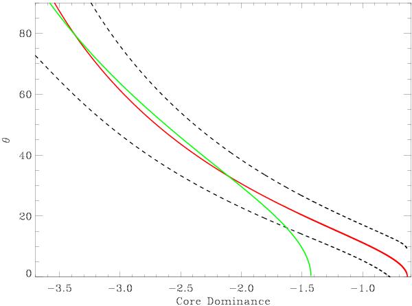
Orientation angle vs. core dominance relation obtained by using the derived three parameters (jet bulk Lorentz factor Γ, intrinsic core dominance Rintr, and intrinsic spread of the core dominance distribution σintr) for HIG and BLO from their core dominance distribution. The red curve is for p = 2 (cylindrical jet) with the error curves represented by the dashed line. The green curve is for p = 3 (single emitting blob).

Current usage metrics show cumulative count of Article Views (full-text article views including HTML views, PDF and ePub downloads, according to the available data) and Abstracts Views on Vision4Press platform.

Data correspond to usage on the plateform after 2015. The current usage metrics is available 48-96 hours after online publication and is updated daily on week days.

Initial download of the metrics may take a while.