Free Access

Fig. 3

thumbnail

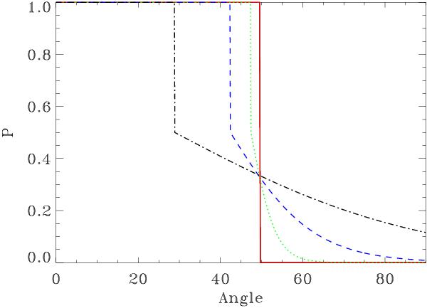
Probability distribution adopted to simulate the effect of a clumpy torus. P is the probability of an AGN seen at angle θ (in degrees) to be classified as a BLO. The various curves corresponds to t = 0.01° (solid red), 3° (dotted green), 10° (dashed blue), and 30° (dot dashed black), see text. θc is the “knee” angle where the probability drastically changes slope.

Current usage metrics show cumulative count of Article Views (full-text article views including HTML views, PDF and ePub downloads, according to the available data) and Abstracts Views on Vision4Press platform.

Data correspond to usage on the plateform after 2015. The current usage metrics is available 48-96 hours after online publication and is updated daily on week days.

Initial download of the metrics may take a while.