Free Access

Fig. 11

thumbnail

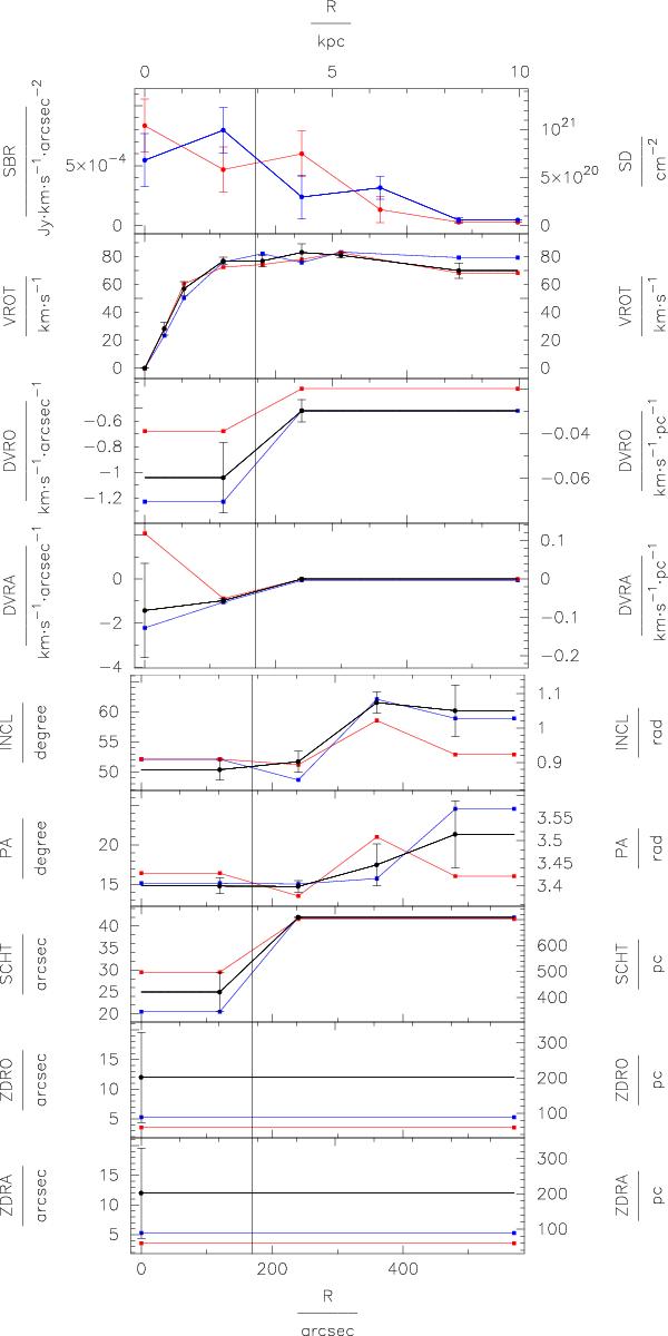
Parametrisation of our best-fit TiRiFiC model for UGCA 105 (cf. panel h) of Fig. 7): surface brightness or -density (SBR/SD), rotation velocity (VROT), vertical gradient of rotation velocity (DVRO), vertical gradient of radial velocity (DVRA), inclination (INCL), position angle (PA), scale height (SCHT), onset height for vertical gradient of rotation velocity (ZDRO), onset height for vertical gradient of radial velocity (ZDRA). The vertical line in each panel is drawn at the optical radius R25 = 2.9 kpc. Colours have the same meaning as in Fig. 8.

This figure is made of several images, please see below:

Current usage metrics show cumulative count of Article Views (full-text article views including HTML views, PDF and ePub downloads, according to the available data) and Abstracts Views on Vision4Press platform.

Data correspond to usage on the plateform after 2015. The current usage metrics is available 48-96 hours after online publication and is updated daily on week days.

Initial download of the metrics may take a while.