Free Access

Fig. 8

thumbnail

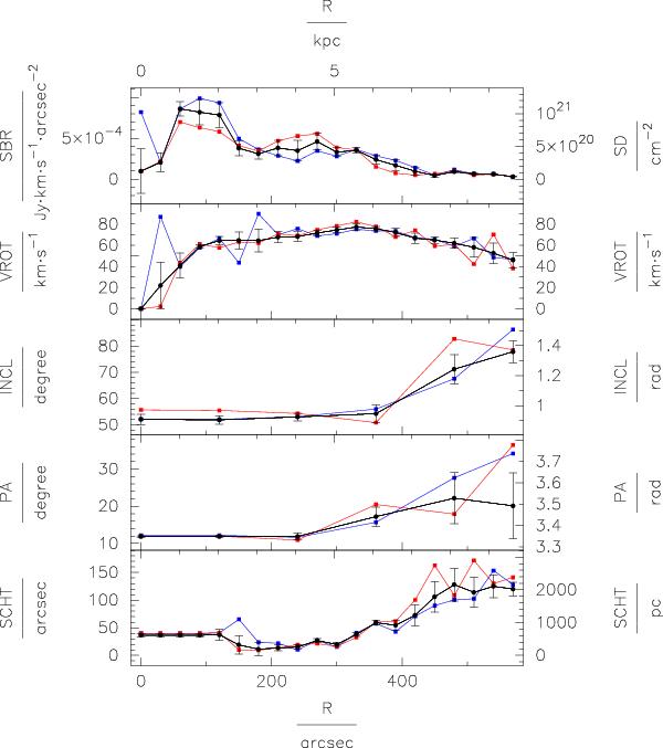
Best-fit solution for UGCA 105 obtained with TiRiFiC when no bar and no velocity gradients are considered, i.e. the warped model described in Sect. 5.1 and shown in panel a) of Fig. 7. Fit parameters are the surface brightness or -density (SBR/SD), rotation velocity (VROT), inclination (INCL), position angle (PA), and scale height (SCHT). Black dots and lines represent the fit to the entire velocity field or data cube, while the blue (red) squares and lines denote the solution for the case in which only the approaching (receding) side was fitted.

Current usage metrics show cumulative count of Article Views (full-text article views including HTML views, PDF and ePub downloads, according to the available data) and Abstracts Views on Vision4Press platform.

Data correspond to usage on the plateform after 2015. The current usage metrics is available 48-96 hours after online publication and is updated daily on week days.

Initial download of the metrics may take a while.