Free Access

Fig. 1

thumbnail

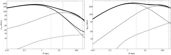
Mock elliptical galaxy analysis. Left panel: velocity dispersion profile; Right panel: circular velocity profile. Dark lines: solid − scalar field with two coupling constants; dot-dashed − scalar field with one coupling constant; dashed − classical NFW dark matter profile. Light lines: dashed − stellar velocity dispersion (circular velocity) in the classical dark matter approach; dotted − gas velocity dispersion (circular velocity) in the classical dark matter approach; dot-dashed − dark matter velocity dispersion (circular velocity). Vertical lines: dotted − effective radius Reff, limit achievable with only stellar photometry; dashed − 5−6  Reff, limit achievable with PNe reconstructed kinematics; solid: virial radius rvir.

This figure is made of several images, please see below:

Current usage metrics show cumulative count of Article Views (full-text article views including HTML views, PDF and ePub downloads, according to the available data) and Abstracts Views on Vision4Press platform.

Data correspond to usage on the plateform after 2015. The current usage metrics is available 48-96 hours after online publication and is updated daily on week days.

Initial download of the metrics may take a while.