Free Access

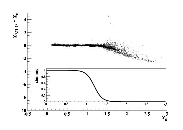
Fig. 23

thumbnail

zMLP − zs as a function of zs for the ten years of observations of the LSST. The curve in the inset shows the efficiency function ϵ as a function of the redshift, as it is used on the training sample to force a bias in the redshift selection.

Current usage metrics show cumulative count of Article Views (full-text article views including HTML views, PDF and ePub downloads, according to the available data) and Abstracts Views on Vision4Press platform.

Data correspond to usage on the plateform after 2015. The current usage metrics is available 48-96 hours after online publication and is updated daily on week days.

Initial download of the metrics may take a while.